
What is the Tiahrt Amendment?
The “Tiahrt Amendment” is a provision members of Congress have tucked into federal spending bills that restricts cities and police from accessing and using ATF trace data from guns recovered in crimes.
Gun trace data helps police figure out where illegal guns are coming from, who buys them and how they get trafficked into their communities.
Write to your Congressman about the importance and support of gun control legislation. Go to http://www.house.gov/ "Find Your Representative" at the top left side of the web page and put in your zip code to get your Representative's contact information. You will need the last 4 digits of your zip code, or call 311. |
INMATE NAME: Jermaine Barrett
INMATE NYSID: 7525742M
DIN: 07A1625
INMATE DOB: September 6, 1972 (Rikers)
INMATE DOB: March 26, 1972 (Downstate and D.A. Arrest File)
DOCKET: 2005KN000000
INDICTMENT: 5323/05
BOOK & CASE: 1410515219
COUNTY OF CONVICTION: Kings
DATE OF SENTENCING: March 7, 2007
PAROLE HEARING DATE: (05/2020) May 2020
PAROLE ELIGIBILITY DATE: 07/28/2020
CURRENT LOCATION: Five Points Correctional Facility
|
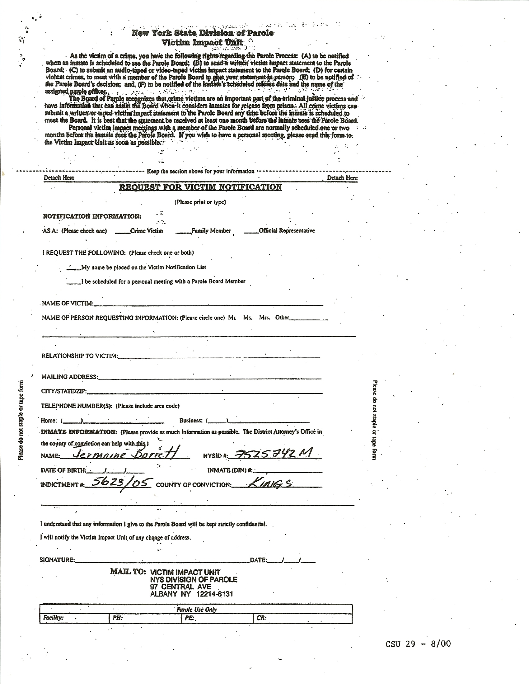
Click here to download a Victim Notification Packet for Jermaine Barrett. (10 Pages) or just read it then download and fill out these two pages,
Page 8 - Victim Demand - Notice of Inmate's Release
and Page 10 - Request For Victim Notification
(to keep in touch with and speak with a Parole Board Member...
Copy the information listed above to fill in the blanks. Family members of Shabazz send an email to me with your address to 1geraldine@verizon.net if you have trouble downloading the notification pages let me know. You can go to your local Public Library to print the pages.
Instructions for Page 8 - Victim Demand - Notice of Inmate's Release:
Most of the lines are filled in. The date of sentencing was 3/7/2007. Fill in the Birthdate with one or both 3/26/1972 and 9/6/1972. Next fill in your Name, Address and Phone Number. The Name Victim is Shabazz Muhammad. Circle your relationship to Shabazz, Child, Sibling, Legal Guardian of Minor Child, or Other. If Other fill in ( eg. Friend, Cousin, nephew, Neice, Uncle, Great Neice, Great Nephew, Grand parent etc.). Check off if there was an Order of Protection. Below, sign, date and check if this is a change of address. There will be to start, 13 years before the first Parole is offered in May 2020. Please fill this form out again and mail it before the next date if you change your address.
Mail Page 8 - Victim Demand - Notice of Inmate's Release to:
Assistant District Attorney Mark Hale
Homicide Bureau
King's County District Attorneys Office
350 Jay Street
Brooklyn, NY 11201
Instructions for Page 10 - Request For Victim Notification:
(to keep in touch with and to speak with a parole Board Member...
Check off if you are a Family Member. Check to be placed on the Victim Notification List and Check to be scheduled for a personal meeting with a Parole Board member. Fill in the Name of Victim, Shabazz Muhammad. Fill in your name and your relationship to Shabazz. Fill out your Address and your phone number. Most of the next few lines are filled. Fill in the Inmate DIN # 07A1625. Sign and Date. There will be to start, 13 years before the first Parole is offered in May 2020. Please fill this form out again and mail it before the next date if you change your address .
Mail Page 10 - Request For Victim Notification
(to keep in touch with and speak with a parole Board Member... to:
Victim Impact Unit
NYS Division of Parole
97 Central Avenue
Albany, NY 12214-6131
VINE (Click the link for detailed information.)
Click to read instructions before calling (888) VINE-4-NY. Sign up with VINE to receive a notification phone call when an inmate you specify is about to be released.
This law authorizes crime victims as well as all other New Yorkers to receive information relating to the crime, sentence and release date of persons serving sentences in state prison.
You may also register with VINE for automatic notification by telephone if the inmate is released.
To register when calling VINE, you will be asked to provide:
* The phone number at which you wish to be notified.
* A four-digit Personal Identification Number that you select to allow VINE to confirm your identity and to keep your identity confidential.
For additional information, contact:
NYS Department of Correctional Services
Office of Victim Services
The Harriman State Campus
1220 Washington Avenue
Albany, NY, 12226-2050
1-800-783-6059
|
2-21-2012 TUESDAY
(NYS Department of Corrections and Community Supervision
Updated New Links 2/21/2012):
Home Page
Inmate Look Up
08-01-2010 MONDAY
Memories of Shabazz - 1 August 2010 FB
My son, your Brother, Uncle, Cousin, Dad, Friend... Let's remember some of the good times...
Shabazz was taken from us 5 years ago on August 1st, 2005 at the age of 27.
Please visit http://shabazzmuhammad.com and click on Case Results for info on how to keep the perpetrator from ever getting parole in May 2020. Do it asap and before May 2020 in time for the Parole Board to consider your letters, and or contact you.
(The page you are on, this page, is the Case Results page. Scroll up for info.)
06-06-2009 SATURDAY
How can we say Happy Birthday to Shabazz today if he is no longer here. Today would have been his 31st Birthday! I remember Shabazz EVERY DAY... and miss his presence. Crystal, You are doing a such great job raising Shimei. You are a wonderful mom and Role model, that is the best gift of all, and Shabazz IS watching, and he is VERY proud.
From Shabazz Friends and Family Google Group
Crystal
Jun 6, 8:13 am
From: Crystal
Date: Sat, 6 Jun 2009 05:13:45 -0700 (PDT)
Local: Sat, Jun 6 2009 8:13 am
Subject: SAM
Happy B'day Shabazz! I can say so much but I want today to be a happy
one! I pray the Lord has you in his corner, Rest in Peace!
Crystal
Happy Birthday daddy everyone loves and misses you! I want you to be
here I miss you so much.
Love Shimei Muhammad
10-23-2008 THURSDAY
9-22-2008 MONDAY
EVERYDAY, I remember my son who is no longer here. On August 12, 2008, his Grandfather passed away. He was 92 years old and had survived a stroke suffered 4 years before Shabazz was killed. He did not have the ability to react to anything yet he lived a long life following the event and a long life overall. Shabazz was 27 at the time of his death so his Grandfather was more than 3 times older than Shabazz.
I did not post on Shabazz birthday or on the Anniversary of his death. All I could do was remember him and feel the loss of him. Every night a news channel asks, "Do you know where your children are? " and I know that he is not here thanks to Jermaine Barrett who shot him emptying a pistol into his back then returning with a second gun to shoot him in the eye after turning his body over. There is no nice way to see this or excuse the actions Barrett committed. The trifling Ms. Lee continues to wreck havoc today and has yet to return items which she kept of Shabazz.
Please be sure to fill out and send the forms above to see that you are contacted regarding parole. Barrett should not be released. His 15 years to life sentence should last as long as he sentenced Shabazz to death... forever.
The following item was recently found, posted online:
It Factor Entertainment - View Single Post - Example of emotional ...
Example of emotional unstability in relationships
-------------------------------------------------------------------------------
This is an article from today's NY Newsday. This is a perfect example as to why I don't like to casually date women that are still involved with a man, or to date women that have jealous ex-boyfriends / ex-husbands. I had to deal with that **** in the past, and there is just no piece of ***** on God's green earth that is worth all that trouble.
BY DARYL KHAN
August 2, 2005
It all began Monday morning at a rollerskating rink in the Bronx with the promise of a late night dinner and a reconciliation. Eleven bullets and a few hours later it ended in Brooklyn with one man dead and his killer wishing he could join him.
A love triangle had devolved into a killing, a brief hostage situation, a police shooting and an attempted suicide, police said. Here is what happened, according to police sources:
Just before 1 a.m. at the Skate Key Skate and Dance Family Center in the Bronx, Shabazz Muhammad, 27, and his girlfriend Timecca Lee had a chance encounter with Jermaine Barrett, 33, Lee's ex-boyfriend. Barrett, who still had feelings for Lee, was angry and the three quickly became embroiled in a heated argument. They agreed to sit down and hash out their differences over dinner at Junior's, the Brooklyn diner.
Lee and Muhammad drove in their Lincoln Navigator, and Barrett climbed on to his motorcycle with the intention of meeting at the restaurant.
On the way, Barrett called and suggested they meet at Washington Avenue and Lefferts Boulevard in Flatbush.
When they got there, Barrett pulled out a .357 Magnum and unloaded it into Muhammad. He turned the empty gun at Lee and pulled the trigger a couple more times. He then walked back to his cycle and pulled out a 9 mm handgun. He walked over to Muhammad, who was on the ground, and fired a shot in his left eye. He was dead at the scene.
When police arrived, Barrett had Lee in a headlock with the gun pointed at her head, screaming that he was going to shoot her. He then shoved the woman at a cop, who was unable to fire. The others did, three times, striking Barrett in the right knee and left side.
After he was shot Barrett pointed the gun at his chest and fired. On the way to King's County Hospital Center Barrett expressed regret that he didn't shoot himself in the head.
Charges are pending against Barrett, who was listed in serious but stable condition last.
3-6-2008 THURSDAY
(Updated New Links 2/21/2012):
Home Page
Inmate Look Up
The Smoking Gun
From The Smoking Gun
Subject Re: Inquiry Re Photos
the district attorney and police in nyc will not be too helpful (as you have found out) because the nypd do not release mug shots. but since this guy is now doing time in the state system your best bet is to get in touch with the new york state department of corrections in albany and ask them for a copy of his department of corrections booking photo. you have all the info necessary for them like a date of birth and his nysid # so it should be easy. while i do not know exactly who you need to get in touch with, a good place to start might be the press office. they tend to be friendly and they do release photos.
best of luck,
andrew goldberg
managing editor
|
The following article originally from August 2nd, 2005 and discovered today, was not previously posted. The details reported are different from the previously posted articles and consistent with what has been told.
HER EX KILLS BEAU, THEN SHOOTS SELF - NY Daily News
"A JEALOUS MAN gunned down his ex-girlfriend's new lover as she watched in horror early yesterday on a Brooklyn street - and then used her as a human shield during a gunfight with cops, police sources said. Holding a pistol to his ex-girlfriend's head, Jermaine Barrett, 33, repeatedly ignored demands by cops to drop his gun around 2 a.m. in Prospect Lefferts Gardens, police said. Cops shot Barrett in his knee and side after he freed Timecca Lee, pushing her toward police. He then shot himself in the chest, police said. "I should have shot myself in the head," Barrett told paramedics as they rushed him to Kings County Hospital, a police source said. Moments before the standoff on Washington Ave., Barrett emptied a .357-magnum revolver into Lee's boyfriend, Shabazz Muhammad, 27, cops said. As Muhammad lay wounded, Barrett pulled out a 9-mm. handgun and shot the Brooklyn man through the left eye, killing him, police said. Barrett also allegedly pistol-whipped Lee, 27. Barrett, of Manhattan, was in serious condition last night and charges were pending against him. Police sources said Barrett had bumped into Lee and Muhammad earlier at the Skate Key roller rink in Mott Haven, the Bronx. Over the past four years, at least 18 people have been shot or stabbed - two fatally - inside or in connection with the E. 138th St. rink. Barrett argued briefly with Muhammad and Lee inside the rink but all three eventually agreed to meet later at Junior's, the famed eatery on Brooklyn's Flatbush Ave., a police source said. Before arriving at the restaurant, Barrett called Lee on her cell phone and changed the meeting place to Washington Ave., near Lefferts Ave., the source said. Lee left the men alone to make peace, the source said. When she returned, Barrett allegedly flew into a rage and pulled out his gun. rmoore@nydailynews.com"
1-31-2008 THURSDAY
1-27-2008 SUNDAY
Your contribution made through the donation link will help keep this site up for the next two months. Thank you Dez!
10-11-2007 THURSDAY
Mark Hale, the same Assistant District Attorney who represented Shabazz who settled for a Plea Bargain of only 15 Years to Life for Jermaine Barrett, spoke about justice in another murder trial that he participated in and which ended today, two years after the murder.
Guilty Verdict in Murder of Police Officer
“Here, a New York City police officer, a human being, was shot and killed, and only justice is going to make up for that.” (Mark Hale)
This case also had the same Judge, Justice Albert Tomei. "He faces life in prison, and is scheduled to be sentenced on Nov. 8 by Justice Albert Tomei."
Defense Lawyer Describes Murder Case Full of ‘Half-Truths’
This case is expected to be settled on November 8th, 2007 in a Life with No Parole sentence according to a local CBS News televised report. Why Life With No Parole in this case and only 15 Years To Life in Jermaine Barrett's Case for murdering Shabazz?
There is a double standard. Death Sentences and harsher punishments are given for police officers only on or off duty at the time of their loss of life at the hands of another. The lives of everyday people, regular citizens, are not as valued as the lives of police officers.
7-6-2007 FRIDAY
6-15-2007 FRIDAY
It is quite unbelieveable but true that Shabazz will never be here with us ever again. Forever is a very long time... For the rest of everyone's life he will never be here... We have Jermaine Barrett to thank for this. For the rest of his life all of the rest of his life, Jermaine Barrett should stay in jail. This is the least that could be done. It is not any way as bad as what he has provided for Shabazz, a permanent never ending death.
In jail , Jermaine Barrett can still be alive and still communicate with his people. We, Shabazz family and friends cannot visit, talk to, write to or see Shabazz at all... The Death Penalty would have been the only thing to possibly provide the same in return as what was given to Shabazz. Life in prison is the next lesser level of possible fair response to Jermaine Barrett's actions. Anything less would not be fair at all. Shabazz will never be free to live his life on this earth again and the person responsible for Shabazz' death should never be allowed to walk free on this earth again either.
New York Correction History Society
6-10-2007 SUNDAY
15 Years to Life was given to Jermaine Barrett for killing Shabazz Muhammad in a Plea Bargain. Barrett could get away with murder and be out in just 13 years from now. Family and friends of Shabazz must contact the Parole Board through the forms on this page and maintain contact over the next 13 years and thereafter anytime parole is offered, to be informed and consulted regarding the possibility of parole. Anyone reading this page may do so on behalf of the victim, Shabazz Muhammad who was killed and who can not speak on his own behalf. The parole board will contact everyone who sends their forms in regarding the impact of this crime on the Victim.
Jermaine Barrett may have been put in jail, but he is still alive, his family can visit and write to him and he still has a life. Shabazz had his life taken from him for no good reason at all by Jermaine Barrett. Just jealosy... We can only dream about Shabazz. He is no longer here... 15 to Life is too lenient. Whatever happened to 25 to Life of better still Life without parole? Shabazz was a loving son, an attentive and responsible parent, a wonderful Uncle, Nephew, Cousin and a good friend... We have recently tried to celebrate his birthday, but in reality 2 years have passed since this murder and there is no way to make the loss any less. Time will not bring Shabazz back. He is gone forever... Will Barrett be as callous and ready to kill while he is in jail as he was on the street or will he keep a low profile among those who could return his actions? There are lot's of tales of the stereo typed jailhouse preachers, lawyers and students who turn to a better life after being locked up. Of course, what else can they do... clean up or buff up. There is no where to go and nothing else to do.
Studies say death penalty deters crime
(Click on the link above for the entire article.)
"...What gets little notice, however, is a series of academic studies over the last half-dozen years that claim to settle a once hotly debated argument — whether the death penalty acts as a deterrent to murder. The analyses say yes. They count between three and 18 lives that would be saved by the execution of each convicted killer."
4-4-2007 THURSDAY
Click Here...The Trial is over but the truth must be found and made clear...
UPDATE:
Jermaine Barrett has been moved from Downstate Correctional Facility to Five Points Correctional Facility .
Look Up Info for State Prison. Use DIN: 07A1625 (Department Identification Number).
Five Points Correctional Facility, New York's 70th correctional facility is located in the town of Romulus. Five Points is a 1,500-bed maximum-security facility that opened a few days after the public was invited to 45 minute tours of the facilities on August 26th, 2000. According to The Department of Corrections, "These new facilities provide the state with the space to house violent offenders in a manner that is safe and secure for the public, employees of this Department and the inmate population. These facilities also offer inmates access to the academic, vocational, drug treatment, counseling and other services..."
Five Points Correctional Facility helped to address the need for more maximum-security cells to house violent offenders serving longer sentences underthe 1995 'Truth in Sentencing Law' for repeat violent felony offenders, as well as under Jenna's Law. It has an increased ability to segregate disruptive and violent inmates from staff and other inmates. Only 150 of its beds are used as disciplinary housing.
| Facility Address |
Security Level Minimum, Medium, Maximum |
Male / Female |
Five Points Correctional Facility
Caller Box 400, State Route 96
Romulus, New York 14541
(607) 869-5111 (Seneca County)
Inmate Mail:
Caller Box 119, Zip 14541
| Maximum | Male |
Identifying and Location Information
As of 03/26/07 |
3-29-2007 THURSDAY
For the first time in New York since 1954 the Death Penalty has been given. Wilson was said by the Jury to have acted with "Depraved Indifference".
In The News:
Click the title link for each news article quoted to read the entire article.
Sentencing in death penalty case
"...Ronell Wilson, the Staten Island man convicted in December for killing two undercover detectives in 2003, will be formally sentenced to the death penalty for the murders by Judge Nicholas Garaufis. The case, the first federal death penalty levied in the city since 1954, will be called at 2:30 p.m."
"In January, the jury that had convicted Wilson voted for capital punishment for him for the slaughter of detectives James Nemorin, 36, of Baldwin Harbor, and Rodney Andrews, 34, of Middle Village in March 2003 during an abortive gun purchase. Thursday's proceedings make the death sentence official."
"...But for Michael Palladino, head of the Detectives Endowment Association, death by lethal injection, the method used in the federal system, is a fitting punishment for Wilson."
"...Once he is sentenced, Wilson will be sent to the federal penitentiary in Terre Haute, Ind., where death row inmates are kept. Wilson has been kept at a federal detention center in Brooklyn. He has been denied visits with his family since he smashed a glass partition during an outburst in January."
3-26-2007 MONDAY
UPDATE:
On March 23, 2007, Jermaine Barrett was moved from Rikers Island and was Transferred to State Prison. He is currently at Downstate Correctional Facility. According to Wikipedia, "Downstate Correctional Facility is a maximum-security prison located along the north side (i.e. westbound) of Interstate 84 in Fishkill, NY. Downstate serves primarily as a classification center, as it the first stop for all new inmates entering the New York State prison system. New inmates typically wait at Downstate for a few weeks before they are assigned to a permanent facility." Downstate serves as a reception center for incoming inmates. Once processed and classified, most inmates are moved to other prisons. History of Downstate Correctional Facility.
Correctional Facilities in New York State
| DIN | Inmate Name | Sex | Birth Date | Status | Facility | Race/Ethnicity |
| 07A1625 | Barrett, Jermaine | MALE | 03/26/1972 | IN CUSTODY | DOWNSTATE | UNKNOWN |
Identifying and Location Information
As of 03/26/07 |
Housing / Releasing Facility
This shows the location of the Correctional Facility responsible for the records of the current or former inmate. For nearly all current inmates, this is the facility where the inmate is housed. For released inmates, this is the facility from which he or she was released and is also the facility where information about the inmate is available. In all cases, the facility shown is the one to contact for all matters concerning the inmate. A list of Correctional Facility phone numbers and addresses is available.
| Facility Address |
Security Level Minimum, Medium, Maximum |
Male / Female |
Downstate Correctional Facility
122 Red Schoolhouse Rd, P.O. Box 445
Fishkill, New York 12524-0445
(845) 831-6600 (Dutchess County)
Inmate Mail:
P.O. Box F, Zip 12524 | Maximum | Male |
Custody Status
This inmate information is available for both current and former inmates. This item distinguishes those individuals that have been released from those still in prison. The phrase "IN CUSTODY" is shown for those who are currently in this Department's custody. A variety of phrases indicate how or why an inmate no longer in prison was released. These status phrases are generally self explanatory. It is important to note that inmates shown as "IN CUSTODY" may be participating in a work release program and may be working and/or living in the community part of the time.
Crimes of Conviction
If all 4 crime fields contain data, there may be additional crimes not shown here. In this case, the crimes shown here are those with the longest sentences.
As of 03/26/07 |
|
Sentence Terms and Release Dates
Under certain circumstances, an inmate may be released prior to serving his or her minimum term and before the earliest release date shown for the inmate.
As of 03/26/07 |
| |
State of the Prisons
Rikers Island
 Any Inmate Lookup
Jermaine Barrett Inmate Lookup
Inmate Details
|
Name: | Jermaine Barrett | Arrest Date: | 2005-08-01 |
| Birth Date: | 1972-09-06 | Admit Date: | 2005-09-01 |
| Sex: | Male | Admit Time: | 17:55 | |
Race: | Black | Projected Discharge Date: | Not Available | | Height: | 6 ft 0 in | Actual Discharge Date: | 2007-03-23 |
| Weight: | 210 lbs | Actual Disharge Time: | 05:48 |
| Hair: | Black | Discharge reason: | Transferred to State Prison |
| Eyes: | Brown | - | - |
| Nativity: | New York | Current Facility: | North Infirmary Command |
Housing History
| From Date | To Date | Facility |
| 2007-03-23 | Present | Discharged |
| 2005-12-07 | 2007-03-23 | North Infirmary Command |
| 2005-09-01 | 2005-12-07 | Bellevue Hospital Prison Ward |
The Housing History does not list where Jermaine Barrett was between August 1st, 2005 and August 31st, 2005. After killing Shabazz, both Shabazz Muhammad and Jermaine Barrett were taken to Kings County Hospital in Brooklyn, NY. Shabazz was taken to the basement Morgue where his family went to identify his body. Jermaine Barrett was taken upstairs to the Kings County Hospital Prison Ward. That is where he resided for the month of August, 2005.
In an email from the Assistant District Attorney on August 25th, 2005, he stated, "Jermaine Barrett is currently in the police wing of Kings County Hospital recovering from the gunshot wounds he sustained. He has been indicted for Murder in the Second Degree and other charges and will be held without bail until the trial in this matter." The Trial was held on March 7th, 2007.
|
Incarceration Details
| Docket | Book & Case | Arrest Number | Indictment | Bail | Bond | Remand | Charge |
2005KN000000 - | 1410515219 CKS1:Brooklyn Criminal Court - AR 1 | 05658897 - | 05623/2005 - | 0 - | 0 - | Yes - | 125.25 FA Murder-2nd DEG (A FELONY) |
Warrants
| Warrent # | Disposition | Type | Date lodged |
| No Warrents Found | - | - | - |
New York State Inmate Lookup
VINE (Click the link for detailed information.)
"Crime victims as well as all other New Yorkers can now use their touch-tone phones to make toll-free calls to get information about convicted felony offenders in the custody of the Department of Correctional Services (DOCS) - the state's prison system."
Click to read instructions before calling (888) VINE-4-NY. Sign up with VINE to receive a notification phone call when an inmate you specify is about to be released.
INMATE NAME: Jermaine Barrett
INMATE NYSID: 7525742M
INMATE DOB: September 6, 1972
DOCKET: 2005KN000000
INDICTMENT: 5323/05
BOOK & CASE: 1410515219
COUNTY OF CONVICTION: Kings
DATE OF SENTENCING: March 7, 2007
Click here to download a Victim Notification Packet for Jermaine Barrett. (10 Pages) or just read it then download and fill out these two pages, Page 8 and Page 10. Copy the information listed above to fill in the blanks.
ARTICLES - A COMPLETE LIST - UPDATED March 11, 2007:
New York Post 2 August 2005 - Love Rival Slain Ex Forced To Watch
The Daily News - Beau Was Dead and She Fought Ex For Her Life
Daily News Police Bureau 1 - Her Ex Kills Beau Then Shoots Self
The New York Times 1 - Man Kills Ex Girlfriends Date Then Shoots Self Police Say
The New York Sun - City Police Come Under Fire
New York News Day - Love Triangle Turns Deadly
News Day 1 - Breifs - Here is what happened...
News Day 2 - Breifs - Love Triangle Turns Deadly
New York Daily News - Beau Was Dead and She Fought Ex For Her Life
Daily News 1 - - Beau Was Dead and She Fought Ex For Her Life
The New York Times - Man Kills Ex Girlfriends Date Then Shoots Self Police Say
Daily News Police Bureau 2 - Her Ex Kills Beau Then Shoots Self
New York Post - Love Rival Slain
News Day - Love Triangle Turns Deadly
The Daily News 2 - Her Ex Kills Beau Then Shoots Self
The New York Times 2 - Man Kills Ex Girlfriends Date Then Shoots Self Police Say
 357 Magnum |  9mm Handgun |
|
Jermaine Barrett was reported to have had and used two
pre-loaded guns stored and retrieved from his motorcycle
seat compartment similar to these which were used to kill
Shabazz who was not armed and whose back was turned. |
ARTICLES:
Love Rival Slain - Daily News
Beau Was Dead and She Fought For Her life - Daily News
City Police Come Under Fire
Man Kills Ex-Girlfriend's Date / Daily News
Love Rival Slain
Beau Was Dead... / Daily News
Love Rival Slain
Her ex Kills Beau... / Daily News
Her Ex Kills Beau Then Shoots Self
3-11-2007 SUNDAY
Follow Up To Letters posted on 3/10/2007:
Thank your for responding, yes I know that your son was already dead when Jermaine shot himself. I was told he shoot himself because he didn't want to go back to jail. Yes, I also know he held Timecca at gun point when the police shot him. You see I also have all the clippings. This whole situation was crazy. Jermaine told me that he and your son was talking and not arguing but when Timecca came over everything got out of hand. I have read all the news clippings and I am aware of what they said Jermaine did. Believe me I confronted him. I told him that I wish that he never had met them in Brooklyn. This is why I say there is three sides to the story, but God knows what really happened that night. And rest assure if Jermaine did all that he was accused of doing, believe me God will handle him.
You see I know Timecca she is a trouble maker, she thinks she is a man and likes to fight. But truly she is all mouth for I have seen for myself she makes sure people are around to stop the fight if something jumps off. Timecca does not have any respect for her elders. The bouncers told me that when Timecca came to the rink they yelled at her for bringing your son to the rink trying to make Jermaine jealous. And Jealousy is the worst game you can play. That is why I never played that game because someone could end up getting killed. Cause in point your Son. They also confirmed that Jermaine left Timecca alone along time ago, but she wouldn't let go. She would pop up to where he was hanging out.
Believe me when I tell you Jermaine is truly sorry for what happened, he has told me this time and time again. He said it grieves him that your son is lost because of him. I told him from the jump he is going to serve time for shooting your son. I told him that God will heal him but he is going to have to get himself right with God, less a worst deal will happen to him. I do not feel comfortable in telling you who I am but I am a friend of his family and now yours. Now watch what God is going to do in this situation.
REPLY:
Hi,
Thank you. I mainly wanted you to know that Shabazz did not have a gun, he did not shoot at Jermaine and it was not a case of self defense.
No one in this family has any anger against Jermaine's family or friends. They did not make him do what he did. Only Jermaine is responsible for his own actions even if he was manipulated by Timecca.
I know that both men were used in a stupid game of jealousy played by Timecca. This issue will be addressed as well. It could not be addressed until the trial was over and now the next step can be pursued.
Thank you for understanding and writing.
Geraldine
3-10-2007 SATURDAY
15 Years To Life
15 years from the date of the trial will be March 7th, 2022. There is a possibility of time served being applied which would mean:
15 years - 19 months = 13 years and 4 months from now = July 7th, 2020.
This should be the earliest possible date of Parole. At that time it needs to be made clear to the Parole Board that Life in Prison should mean Life in Prison. This is considerably more than what Jermaine Barrett gave to Shabazz when he deliberately and with depravity, shot him to death.
The
VINE Application is here:
Click here to download a Victim Notification Packet for Jermaine Barrett. (10 Pages) or just read it then download and fill out these two pages, Page 8 and Page 10
Print it out the form and send it in to be kept informed of any movement or information regarding Jermaine Barrett. It is up to us to care and to see that the Parole Board knows our point of view. This is the second time that Barrett is doing time for using a gun. He spent time in the 1990's in jail and on parole for an incident using weapons on a college campus, something he was quite proud of showing others the newspaper articles that he had saved. This time he deliberately and with malice, took the life of my son, Shabazz. Let's not let it happen a third time. Barrett needs to stay in jail for the rest of his natural life.
According to the record, he is currently housed in North Infirmary Command, one of 5 divisions of Rikers Island Jail. The North Tower was opened in 1990. "The North Infirmary Command, once called the Rikers Island Hospital, is used to house inmates requiring extreme protective custody, as well as some regular inmates." The North Infirmary Command, is a five-story jail.
Rikers Island "is often called Gotham City or Land of Darkness, but as New York City's jail system has grown over the decades, Rikers Island has become something of a small town. There are schools, medical clinics, ball fields, chapels and mosques, gyms, drug rehab programs, grocery stores, barbershops, a bakery, a laundry, a power plant, a track, a tailor shop, a print shop, a bus depot and even a car wash. Daytime population — including jailers, employees and visitors — can be as large as 20,000."
What is the meaning of extreme protective custody?
The Definition of protective custody states:
protective custody n. the act of law enforcement officials in placing a person in a government facility or foster home in order to protect him/her from a dangerous person or situation. Most commonly a child who has been neglected or battered or is in danger from a violent person, is taken in as a temporary ward of the state and held in probation facilities or placed in a foster home until a court can decide the future placement of the child. Protective custody is sometimes used to help women threatened by a husband, boyfriend or a stalker, and also for witnesses who have been threatened with physical harm or death they testify.
According to this legal definition, Jermaine Barrett is being protected while in jail from others. This self proclaimed "body guard" and "security" expert who thought nothing of killing another should not need to be protected from the general population at Rikers Island. It has been 19 months since his self inflicted injury and he should be well able to live like everyone else who is incarcerated.
Afternoon Update:
Apparently based on an email received today from an advocate for Jermaine Barrett, taking the plea bargain and foregoing testimony has served an unexpected result. Since there was no testimony and since his family and friends were not expected to have access to the truth, Barrett believed he could, and did rewrite history for his friends and family.
Jermaine Barrett told his friends and family that he had been involved in a shootout with Shabazz. They were told that Shabazz having bad aim, "pulled the gun out on Jermaine and Jermaine was faster and defended himself."
I did reply to the email which asked/told me to forgive:
Hi,
You did not give your name but I assume that you are possibly a family member of Jermaine Barrett, a friend or both. The family and friends of Jermaine are not to blame for anything he did. He should be responsible for his actions though.
I do agree with you regarding the part about Timecca. It has always been our belief that it was set up. She was the one on the phone setting up the various meeting places. Our family never met her until after this incident had taken place and she was not made welcome.
You have been misinformed however about there being more than one person shooting. Shabazz did not own or carry a gun. This was not a shoot out between Shabazz and Jermaine. It has been confirmed by the police investigation that Shabazz did not have any gun or weapon. Shabazz was a very soft spoken, quiet and peaceful person.
Jermaine was confirmed by the police to have had and used two already loaded weapons. Shabazz and Jermaine did not argue. Jermaine spoke and Shabazz listened, then when the conversation was over, Shabazz walked away leaving Timecca and Jermaine alone to speak with each other.
As he walked away, Shabazz was shot multiple times in the back. The first gun was emptied into him from the rear. The second gun Jermaine got from his motorcycle was used to shoot Shabazz in the eye as he lay dying in the street. His body was turned over by Jermaine from face down to face up, then he was shot in his left eye. It was not a shoot out. Only one person had 2 guns.
I appreciate you writing to me. You have shed a little light on some of the details. Hopefully I have done the same.
Thank you.
Geraldine
I also sent a second email with copies of the following articles as well as this message:
Article
City Police Come Under Fire
Man Kills Ex-Girlfriend's Date / Daily News
Hi again,
I wanted to shed a little more light.
Jermaine had after emptying the first gun into Shabazz, pulled the trigger twice on Timecca, but the gun was empty. He got the second gun and Shot Shabazz in the eye then he pistol whipped Timecca.
When the police arrived Jermaine was holding Timecca with a gun to her head. Jermaine shot himself in the chest. The police shot at him at that time thinking that he had shot Timecca. Jermaine was shot at by the police after Shabazz had already been killed.
The only gunfight was between Jermaine and the police after Shabazz was already dead.
Thank you.
Geraldine
To be fair, here is the entire letter received:
Grace and Peace be unto you from God our Father and our Lord Jesus Christ!!
I am so sorry about the death of your son may he rest in peace.
This whole thing baffles me though, from what I read in one of papers (Post) and from what J has said; your son pulled a gun on him first. I was there at the skating rink when your son and Timecca showed up at the rink. If J was stalking your son, why in the heck would he and Timecca go the the place of employment where J works? Does that make any since. From what I hear Timecca called one of the bouncers at the rink and asked if Jermaine was there and once she found out he was, your son and Timecca showed up to the rink. Timecca set this whole thing up and caused the death of your son and another in jail. There are three side to the story Timecca side, Jermaine's side and your son side I wish he was alive to tell his. But almighty God who sit high in heaven but looks low knows what happened that night. And rest assure he is going to handle everything. If at 2am in the morning someone pulled a gun out on you, your going to fight back, it is do or die; face the fact your son was no angle and he pulled the gun out on Jermaine and Jermaine was faster and defended himself. Please do not get me wrong I am very upset about this whole situation.
You better get to the source of this whole situation, Timecca, he left her alone but she kept on bothering him trying to fight every women he was it. She would not except the fact that he didn't want to be with her. He met her in brooklyn at her request, he went there only to let her know once and for all to leave him alone that is was over between them. That night your son and Jermaine spoke and on friendly terms, but Timecca approached them and caused discord and everything happened. Please try to find out the truth for yourself, Timecca's story does not sound creditable, everyone including police officers, matter of fact it was a police officer who said something does not sound right.
Mrs. Geraldine I know your hurt and is very sad, take it to God and he will show you what really happened that night. Mrs. Geraldine your going to have to forgive Jermaine for taking your Son's life it was self defense. Jermaine is not a person who would pull out a gun on a person nor start a fight first. He is the type of guy who will talk his way out first. Holding bitterness is going to do nothing but make you sick and kill you. You have your Granddaughter to worry about now.
I know what the Judge said to Jermaine that day of March 7th, he spoke highly of him, and the whole court was moved to tears. Believe me when I tell you this, Jermaine is very sorry for this whole situation and he prays everyday that the truth will come out. He is so upset about the lost he caused in your family. Mrs. Geraldine it will come out sooner than what you think. Mrs. Geraldine God showed me in a dream the day after the incident that he was going to heal Jermaine's body and guess what he has. It is Jesus who is feeding him. Mrs. Geraldine God is not going to let Jermaine serve a life time. Your going to have to accept this. Mrs. Geraldine no weapon formed against him will prosper. So please let go and let God, trust me he is already on the main line handling the situation.
Please let go and let God and watch he will make everything all right and you will really find out what happened that night. But your going to have to let go and forgive first. I am not saying forget but forgive.
Peace
There is nothing that I need to stop discontinue or rethink. My intention is to seek justice for my son Shabazz who is not here to speak for himself. The email I received also shows me that the truth needs to be made known and lies being told need to be exposed to the light. Any actions on my part are within the law and through the justice system. If anything the laws have been lenient by not having enforced a death sentence in this case. I do not write or enforce the laws.
Jermaine Barrett chose not to go to trial and Jury Selection was cancelled. If there had been a trial, the details would have been spoken and made clear in the courtroom. Instead, Jermaine chose to plead guilty.
There are several newspaper articles posted and I will eventually post the additional articles that I saved. Each article sheds a little more light on the facts obtained at the time that the incident occured 19 months ago. Anyone who is not sure of the truth and who really wants to know the truth can feel free to contact the detective who investigated this case and/or the Assistant District Attorney who handled the case. No one has to take my word for any of this. Here is their contact information:
Detective Mike McDermott
71st Detective Squad
421 Empire Blvd.
At New York Avenue
Brooklyn, NY 11225
|
Assistant District Attorney Mark Hale
Homicide Bureau
King's County District Attorneys Office
350 Jay Street
Brooklyn, NY 11201
|
Here are the facts:
Timecca and Jermaine arranged by phone to meet.
(Transcripts of the cell phone calls were obtained by the police.)
Jermaine was not defending himself. He was not acting in self defense.
Jermaine assassinated Shabazz.
Shabazz did not have a gun, he was not armed and he did not shoot at Jermaine.
Jermaine had two loaded guns.
Jermaine shot at Shabazz who was walking away with his back turned.
Jermaine got a second gun, turned Shabazz over and shot Shabazz in the face.
Jermaine was not involved in a shoot out with Shabazz.
Jermaine shot at and pistol whipped Timecca.
Jermaine had a stand off with the police and was shot at by the police after he fired his own second gun.
Jermaine shot himself.
Jermaine's actions were cruel and unusual. If an animal were treated this way it would have raised an alarm. A person sentenced to death would not receive this gang like killing. It was very cruel to kill an unarmed man this way.
I am being asked not to forget but to forgive. Jermaine needs to be asked to tell the truth. Remind him of a few of the 10 Commandments:
4. You shall not break the Sabbath.
.....2:00 AM on 8/1/2005 was a Sunday night / Monday morning. "Remember the Sabbath day to keep it holy"
5. You shall not dishonor your parents.
.....This was not an honorable action on Jermaine's part.
6. You shall not murder.
.....This was a murder. "Murder must refer to people taking the law into their own hands and killing." This was NOT self-defense. Shabazz had no weapons and his back was turned. This was a case of murder. The charge is 2nd Degree Murder - A Felony.
9. You shall not commit perjury.
......Committing the act, then lieing about the facts, perjury is lieing also known as bearing false witness. Claiming that this was self-defense and the Shabazz shot at him is an outright lie. If Jermaine said that he was defending himself and that Shabazz had shot at him, he is bearing false witness against Shabazz. It is not ok to lie acbout someone if they are dead. This is shameful. Now in addition to having killed him, he is lieing about Shabazz as well as his own actions. Apparently one lie DOES lead to another.
10. You shall not covet.
....."This is greed and envy, focusing on what others have and what we don’t have."
The phrase "an eye for an eye, a tooth for a tooth" is a a quotation from Exodus 21:23-27.
Instead the law has given 15 Years to Life in prison. The courts did not ask for or require any input from myself or my family to reach this decision. I was only allowed to make a statement on behalf of my son, after all decisions were already made and first made this statement for the first time, a few minutes before sentencing.
My statement was based on the truth and the facts. Hearing the truth and the facts are what brought the courtroom to tears. The Judge said that both families were good families. He commended Barrett for apologizing. The Judge may not have known that the apology and admission of guilt were skewed. Jermaine appeared to be apologizing for shooting Shabazz but at the same time he was lying about the details of what had happened to his friends and family, claiming that he acted in self defense, (he did not repeat this lie in the courtroom) he has been speaking with a forked toungue, "to make false promises or to speak in a way which is not honest".
Anyone who wants to may contact the court stenographer and request a copy of the transcript, that is a typed recording of everything that was said in court. There is a fee charged by the court stenographer for this service.
Perhaps Jermaine can begin by telling the truth to a Priest. Then he might be able to find the truth within himself and share the truth and his family and friends. There is a wonderful Chaplain at Riker's Island, Father Lawrence Lucas. If he is no longer there, there are certainly other religious persons available.
The email states that Jermaine was healed. This was suspected that he was not as ill as he portrayed himself to be. The portrayal of being an invalid and sorrowful was apparently an act to gain the mercy of the court. I am sure that he is sorry. Of course he would rather not be in jail at this time facing 15 years to life. Everyone must however "reap what they sow" and face the consequences of their actions.
3-8-2007 THURSDAY
The following information will be maintained and kept updated at the top of this page.
INMATE NAME: Jermaine Barrett
INMATE NYSID: 7525742M
INMATE DOB: September 6, 1972
DOCKET: 2005KN000000
INDICTMENT: 5323/05
BOOK & CASE: 1410515219
COUNTY OF CONVICTION: Kings
DATE OF SENTENCING: March 7, 2007
Click here to download a Victim Notification Packet for Jermaine Barrett. (10 Pages) or just read it then download and fill out these two pages, Page 8 and Page 10. Copy the information listed above to fill in the blanks.
Apparently although the name posted above is enough to find the correct information, a second birthdate is posted in the information found.
2nd DOB on record: September 6, 1972 (not March 26, 1972)
Rikers Island
 Any Inmate Lookup
Jermaine Barrett Inmate Lookup
|
Name: | Jermaine Barrett | Arrest Date: | 2005-08-01 |
| Birth Date: | 1972-09-06 | Admit Date: | 2005-09-01 |
| Sex: | Male | Admit Time: | 17:55 | |
Race: | Black | Projected Discharge Date: | Not Available | | Height: | 6 ft 0 in | Actual Discharge Date: | - |
| Weight: | 210 lbs | Actual Disharge Time: | - |
| Hair: | Black | Discharge reason: | - |
| Eyes: | Brown | - | - |
| Nativity: | New York | Current Facility: | North Infirmary Command |
Housing History
| From Date | To Date | Facility |
| 2005-12-07 | Present | North Infirmary Command |
| 2005-09-01 | 2005-12-07 | Bellevue Hospital Prison Ward |
The Housing History does not list where Jermaine Barrett was between August 1st, 2005 and August 31st, 2005. After killing Shabazz, both Shabazz Muhammad and Jermaine Barrett were taken to Kings County Hospital in Brooklyn, NY. Shabazz was taken to the basement Morgue where his family went to identify his body. Jermaine Barrett was taken upstairs to the Kings County Hospital Prison Ward. That is where he resided for the month of August, 2005.
In an email from the Assistant District Attorney on August 25th, 2005, he stated, "Jermaine Barrett is currently in the police wing of Kings County Hospital recovering from the gunshot wounds he sustained. He has been indicted for Murder in the Second Degree and other charges and will be held without bail until the trial in this matter." The Trial was held on March 7th, 2007.
|
Incarceration Details
| Docket | Book & Case | Arrest Number | Indictment | Bail | Bond | Remand | Charge |
2005KN000000 - | 1410515219 CKS1:Brooklyn Criminal Court - AR 1 | 05658897 - | 05623/2005 - | 0 - | 0 - | Yes - | 125.25 FA Murder-2nd DEG (A FELONY) |
Warrants
| Warrent # | Disposition | Type | Date lodged |
| No Warrents Found | - | - | - |
New York State Inmate Lookup
VINE (Click the link for detailed information.)
"Crime victims as well as all other New Yorkers can now use their touch-tone phones to make toll-free calls to get information about convicted felony offenders in the custody of the Department of Correctional Services (DOCS) - the state's prison system."
Click to read instructions before calling (888) VINE-4-NY. Sign up with VINE to receive a notification phone call when an inmate you specify is about to be released.
Click here to download a Victim Notification Packet for Jermaine Barrett. (10 Pages) or just read it then download and fill out these two pages, Page 8 and Page 10
Legal Terms defined: dictionary.law.com
The Death Penalty in New York State is considered only in First Degree Homicide. This sentence has a history of being overturned. It is only applicable to cases of a Police Officer being murdered, in cases of multiple homicides or for serial killers.
Kings County District Attorney Office . KINGS COUNTY COURT CALENDAR
AsktheDA@brooklynda.org
ARTICLES:
Article
Article
City Police Come Under Fire
Man Kills Ex-Girlfriend's Date / Daily News
Her ex Kills Beau... / Daily News
Beau Was Dead... / Daily News
Love Rival Slain
Her ex Kills Beau... / Daily News
Love Rival Slain
VINE (Click the link above for detailed information.)
"Crime victims as well as all other New Yorkers can now use their touch-tone phones to make toll-free calls to get information about convicted felony offenders in the custody of the Department of Correctional Services (DOCS) - the state's prison system."
Click to read instructions before calling (888) VINE-4-NY. Sign up with VINE to receive a notification phone call when an inmate you specify is about to be released.
Click here to download a Victim Notification Packet for Jermaine Barrett. (10 Pages) or just read it then download and fill out these two pages, Page 8 and Page 10
NAME: Jermaine Barrett
NYSID: 7525742M
DOB: September 6, 1972 (not March 26, 1972)
DOCKET: 2005KN000000
INDICTMENT: 5323/05
BOOK & CASE: 1410515219
COUNTY OF CONVICTION: Kings
DATE OF SENTENCING: March 7, 2007
Click here to download a Victim Notification Packet for Jermaine Barrett. (10 Pages) or just read it then download and fill out these two pages, Page 8 and Page 10. Copy the information listed above to fill in the blanks.
3-7-2007 WEDNESDAY
Thank you so very much to everyone for your timely letters, visits and your presence in the courtroom. A package that contained all of our letters, all of the notes to date on this website and in the google group, all of the physical and virtual news articles, Shimei's video statement and transcript and several pertinent documents were submitted to the court and added to Jermaine Barrett's file.
I was able to address the court on behalf of Shabazz speaking directly to the Judge regarding sentencing. This was followed by a rather rambling counter statement by Jermaine Barrett who apologized yet in the same breath spoke of having some kind of right to carry illegal weapons having worked in security and as a body guard. His charges had been illegal possession in the First and Second degrees. He was not licensed to carry weapons in New York or any where and he was not at work guarding anyone or securing anything either.
Barrett also spoke about having been set up by Timecca and that he had no malice towards Shabazz. This statement seemed quite contradictory toward his actions of having emptied a gun into Shabazz back then getting a second gun to shoot him in the face while saying amongst other things at the time, "your man is dead" before shooting Shabazz in the face. If that was a friendly gesture, it was a very strange one.
Although the initial charges included Murder in the Second Degree, Assault in the Second Degree and Criminal Possession of a Weapon in the Second and Third Degrees, as the Judge stated, an agreement had been made. Barrett had a Plea Bargain that allowed him to plead guilty to lesser charges and as a result he was sentenced to 15 Years To Life even in light of a prior similar gun incident on a college campus in the 1990's for which time was served. This incident was the second time on record.
15 Years is the least amount of time and Life is the most amount of time that Barrett can serve. In the next 15 - 30 Years if he should come up for parole, the submitted letters, video, pertinent documents and articles will be reviewed by the Parole Board who is assigned to determine if he should have an opportunity to be released. It is our hope that they will keep him incarcerated for the rest of his natural life.
Being alive and in jail is more than what Barrett gave Shabazz. Shabazz was sentenced to death by Barrett and was assassinated. Shabazz will never walk this earth again, his daughter will never see him again and we will never hear his voice or be with him again. Even in jail, Barrett will be able to speak with and get visits from his family. He has already apparently gained weight from good eating and surely money gifts and treats are given to him by his family. Life in Jail is the least that he should get after having murdered Shabazz.
Thank you everyone for your letters and support. Your efforts will be revisited throughout the years to come. Hopefully the Parole Board will read the truth and keep Barrett in jail where he belongs.
2-27-2007 TUESDAY
Hi,
Your letters are needed this week. One person seems to have misinterpreted the focus here. Unlike the previous notes addressed to Shabazz on the Memorial pages which are still welcome, the purpose of this letter from you is to focus on sentencing and parole for Jermaine Barrett in light of what he did to Shabazz.
According to what has been said, Jermaine Barrett arrived in the middle of the night, with two loaded guns concealed in his motorcycle seat and followed Shabazz and Timecca. He through several phone calls with Timecca while Shabazz was driving, arranged to meet to "talk" with them first in front of "Junior's" Cheesecake Restaurant then changed the meeting place by phone with Timecca, Jermaine's ex-girlfriend, to meet at the gas station on Lefferts Boulevard and Lincoln Road.
The three met. Timecca said she "let them talk". After talking with Jermaine, Shabazz walked away going toward the vehicle they had arrived in. Timecca was then talking with Jermaine who Timecca said went to his motorcycle, got the first gun then followed behind Shabazz shooting him in the back, emptying the gun. Shabazz tried to crawl under the vehicle with the strength he had left while being shot. Jermaine went back to the motorcycle, grabbed a second gun and dragged Timecca over to watch him turn Shabazz body over from face down to face up and Jermaine then shot Shabazz in the eye.
According to news reports:
"Eleven bullets on Washington Avenue between Lefferts Boulevard and Lincoln Road."
“Barrett emptied a .357 Magnum Revolver, into Shabazz Muhammad. As Muhammad lay wounded, Barrett pulled out a 9-mm. hand gun and shot ... (Shabazz) through the left eye, killing him”. (Daily News)
“The Last thing ..Jermaine Barrett …said before walking over to his motorcycle …was ‘Let me give you what I have for you.’ (after emptying the first gun into Shabazz) …Barrett …grabbed another gun from his motorcycle … said ‘Your man is dead’ …then shot him (Shabazz) in the back of the head”… (Daily News)
A New York Post article stated that “Barrett mumbled, “I should have shot myself in the head."
Yes, I agree he should have shot himself in the head. 15 years to life is too lenient with "Life" being only 45 years according to my understanding. If Barrett is allowed to leave prison in his 60’s or 70’s even, it will not have been enough time served. He would still have time to live and walk the streets and to be with his family. Shabazz is dead. He is no longer here and his daughter has no father. All of our lives have been affected by the loss of his life.
Jermaine Barrett has been coming to court looking for sympathy. He holds his head forward blinking, wearing a suit and trying to look innocent. Although he has no spinal cord injury he rides around in a wheel chair and at one time was planning to sue the police who shot him in the leg while he was holding a gun to Timecca after killing Shabazz. The police shot him in the leg when the gun shot was heard. They did not know he had shot hisself and not Timecca.
In court, Barrett claimed not to know how many times he shot Shabazz and the Judge had to drag bits and pieces of truth out of him, "...more than once? ..more than twice?" Barrett was told that he would not get a plea bargain unless he admitted to his guilt. He suddenly got a small part of his memory back and after he stated what he had done, the Judge allowed him to plead guilty and get 15 Years To Life.
A number of Elder relatives of Jermaine Barrett have attended the Hearing, Jury Selection and Trial Dates. They are related to him but are not responsible for his actions. It was not their fault. Barrett acted on his own. Any direct influence by a family member is not known.
At the end of the court proceedings this past February 23, 2007, the lawyer requested visitation. He told the Judge that there were a number of relatives of Jermaine present in the courtroom and asked if they could visit with him. They had each written letters on his behalf to request lenient sentencing and as we left, they were allowed to visit with Jermaine.
We in Shabazz Family cannot visit with Shabazz and talk to him. It seemed unfair that Barrett should be allowed a visit when we will never see Shabazz again because Jermaine Barrett had murdered him making sure that we would never speak to Shabazz or see Shabazz alive again.
Jermaine Barrett committed a pre-meditated crime when he went looking for my son Shabazz Muhammad and arranged with Timecca Lee to meet with him to talk. Jermaine carried two loaded hand guns and after speaking with Shabazz, he shot Shabazz.
It is unfortunate that the Death Penalty is not available. That would have been Justice served. The actions of Jermaine Barrett were depraved and heartless and can never be forgiven. If the death penalty were available it would have been the closest thing to justice being served. Shabazz should not have had to die.
You can E-mail your letters to 1geraldine@verizon.net
You can contact me for fax or mail
You can scan and send or send a document as an attachment to 1geraldine@verizon.net
Letters can be typed or written and all forms of media are accepted including video.
Thank you for those letters which have been sent so far. They all show each from their own point of view, why Shabazz life should not have been taken and what sentence should be given to a person who deliberately and premeditatedly, takes a life because he was jealous.
There is a saying that "Cleanliness is next to Godliness". Shabazz was literally the cleanest man I have ever known. He was particular and radiated no matter what he wore. He kept his belongings extremely neat and in new condition, well kept. For an example, he would clean and fold his belongings and when stored, each item or piece of clothing would appear to have just come from the store no matter how long he had it.
That is why it was so obvious that his belongings in storage had been searched and stolen from. Each item was meticulously neatly packed in Shabazz own way except one or two boxes obviously ransacked and put back. Those who thought they had gotten over by stealing from a dead man, you each know in your hearts what you did with items in your homes as well as in storage and I know what those items were as well as who you are.
Shabazz always looked good. Jermaine Barrett particularly chose to shoot him in the face with the second gun after having emptied the first gun into his back. This was not a gunfight. Only Barrett was shooting. It was an execution. Some looked for a casket at the funeral and did not notice the urn. Shabazz was cremated. We wanted everyone to remember Shabazz as they had known him.
A Few Quotes:
"...Barrett should be severely punished for his crime of hate. He should not be treated so kind and friendly because what he has done is inhumane. Barrett is a selfish greedy murderer who determined his own fate and now must face the consequences of his acts. I have no pity or sympathy for this man. I am a certified Emergency Medical Technician and I have viewed the remains of my brother. I saw the dry tears on his face, the big hole on the entire left hemisphere of his brain and the blood that had dried on his teeth. And that’s one of my many memories of my loving brother that was savagely shot where ever and how ever. Until he was no longer…… " (One of Shabazz Sisters)
"...Because this was a hate crime; premeditated murder he should get life it's not like it was self defense. His mind was set on shooting and killing Shabazz, he knew he was going to jail an didn't care of the consequences. This is why that twisted sun of a bitch should be put to death and or sentenced with life!" (One of Shabazz Nephews)
Thank you.
Geraldine
Shabazz Mother
VINE (Click the link for detailed information.)
"Crime victims as well as all other New Yorkers can now use their touch-tone phones to make toll-free calls to get information about convicted felony offenders in the custody of the Department of Correctional Services (DOCS) - the state's prison system."
Click here to download a Victim Notification Packet for Jermaine Barrett. (10 Pages) or just read it then download and fill out these two pages, Page 8 and Page 10
Click the link above for the documents for VINE once Jermaine Barrett has been sentenced and is given a NYSID. Jermaine
Barretts' DOB - Date of Birth was listed in the police file as March 26, 1972. The correct date according to Riker's Islands Records is September 26, 1972.
Through VINE you will be kept informed throughout the years to come of any movement or parole hearings for Jermaine Barrett.
NEXT COURT DATE - TRIAL:
FRIDAY - March 7th, 2007
320 Jay Street
Brooklyn, NY
Room 2111
On the 21st Floor
For travel directions from your area, call for transit directions at 718 330 1234
2-23-2007 MONDAY
The Final Trial was set for today, February 23, 2007. It was cancelled however because Jermaine Barrett has been given time to show what a wonderful murdering citizen he is.
The next court date set for the final Trial will be on March 7th, 2007.
Friend's and Family,
Please send asap your own letters stating what Shabazz meant to you and why Jermaine Barrett should stay in jail. Your letters will become a part of the official file and will be read now as well as at any time that he may come up for parole. I need to receive these letters BEFORE the next court date on March 7th, 2007.
You can add your letter to the Google Discussion Group.
You can E-mail your letters to 1geraldine@verizon.net
You can contact me for fax or mail
You can scan and send or send a document as an attachment to 1geraldine@verizon.net
Letters can be typed or written and all forms of media are accepted including video.
Thank you.
Geraldine
Shabazz Mother
NEXT COURT DATE - TRIAL:
FRIDAY - March 7th, 2007
320 Jay Street
Brooklyn, NY
Room 2111
On the 21st Floor
For travel directions from your area, call for transit directions at 718 330 1234
1-22-2007 MONDAY
Jury Selection was set for January 22, 2007. It was cancelled however because Jermaine Barrett changed his Not Guilty Plea to Guilty.
The next court date will be for the final Trial on February 23rd, 2007.
NEXT COURT DATE - TRIAL:
FRIDAY - FEBRUARY 23rd, 2007
320 Jay Street
Brooklyn, NY
Room 2111
On the 21st Floor
For travel directions from your area, call for transit directions at 718 330 1234
1-18-2007 THURSDAY
A Trial date was set for January 18, 2007. It took quite awhile as the court waited for Jermaine Barrett to be brought in. District Attorney Mark Hale representing Shabazz Muhammad and William Folkes the Lawyer for Jermaine Barrett stood before the Judge, Hon. Albert Tomei.
The Judge said that the case would begin on Monday, January 22nd, 2007. William Folkes stated that he had a 2nd investigative reporter and subpoenas as well as another case and that he would need additional time until January 29th. Hon. Judge Albert Tomei said, DENIED.
The next court date will be for the selection of a Jury on January 22nd, 2007. It is likely that the next step in the trial will continue on Wednesday January 25th, 2007. It will possibly be all completed in the next week.
NEXT COURT DATE - JURY SELECTION:
MONDAY - JANUARY 22nd, 2007
320 Jay Street
Brooklyn, NY
Room 2111
On the 21st Floor
For travel directions from your area, call for transit directions at 718 330 1234
12-13-2006 WEDNESDAY
A court date had been scheduled for complete discovery on December 13, 2006 at 9:30 AM. Jermaine Barrett was present for the first time. On Wednesday, December 13th, 2006, District Attorney Mark Hale representing Shabazz Muhammad and William Folkes the Lawyer for Jermaine Barrett conferred with the Judge, Hon. Albert Tomei and subsequently a Trial date was set for January 18th, 2007.
NEXT COURT DATE: JANUARY 18, 2007
320 Jay Street
Brooklyn, NY
Room 2111
On the 21st Floor
For travel directions from your area, call for transit directions at 718 330 1234
11-14-2006 TUESDAY
A court date was scheduled for complete discovery on December 13, 2006 9:30 AM. A trial date will be set at that time.
320 Jay Street
Brooklyn, NY
Room 2111
On the 21st Floor
For travel directions from your area, call for transit directions at 718 330 1234
10-3-2006 TUESDAY
A hearing had been scheduled for October 3, 2006 9:30 AM.
The case was adjourned and will meet again for a Pre-Trial Hearing and Trial on November, 14th, 2006 at 9:30 AM.
320 Jay Street
Brooklyn, NY
Room 2111
On the 21st Floor
For travel directions from your area, call for transit directions at 718 330 1234
9-27-2006 WEDNESDAY
A hearing has been scheduled for October 3, 2006 9:30 AM
That is the general time for all cases scheduled.
320 Jay Street
Brooklyn, NY
Room 2111
8-6-2006 TUESDAY
Hopefully a trial date will be set this Fall 2006.
The following article popped up in google today, one year after it was first published.
City Police Officers Come Under Fire In 2 Separate Incidents in the Last 2 Days
Several of last year's news links are no longer posted or require a payment to the news source. These links have been complimented with saved copies of the articles posted above.
7-5-2006 WEDNESDAY
Hi,
This is just to let everyone know that there have been no additions to this page because there has not been anything to report. I have stayed in touch with the Brooklyn DA and a trial date has not been set yet.
If you would like any information, photos or notes to be added to this site or if you have any questions, e-mail me at 1geraldine@verizon.net
Thank you...
Geraldine
Shabazz Mother
3-2-2006 THURSDAY
Backlog causing a problem
The following is a brief list of names of people wanted by the Independence County Sheriff’s Office, listing their names, dates of birth and towns of last known residence. ...Jermaine E. Barrett 4-3-75. “If your name appears on this list, or you know the whereabouts of someone listed here, please call me at the sheriff’s office at 793-8838”...
Batesville Daily Guard
1-6-2006 FRIDAY
12-22-2005 FRIDAY
As of 12/22 - All blatant as well as residual images removed from server.
Thank you J.P.!
12-16-2005 FRIDAY
Thank you. We look forward to it being removed from the website's server, asap. G.M.
12-15-2005 THURSDAY
"Out of courtesy and respect to the Muhammad Family I will remove Shabazz & my picture from this page. I apologize if this picture caused the family any discomfort." T.L.
Thank you. We look forward to it being removed. G.M.
This statement has been made. The promised removal of the photo and Shabazz name would be appreciated. Actions speak louder than words. Word is bond, bond is life...
12-11-2005 WEDNESDAY
11-18-2005 FRIDAY
PUBLIC NOTICE: COPYRIGHT LAW - LAWSUIT
Period of Violation - October 4, 2005 - December 16, 2005
Elapsed time of failure to comply having been notified:
November 16, 2005 - December 16, 2005
"Violating copyright is illegal whether you do it for money, love, competitive advantage, malice, or any other reason."
If the person has died and permission cannot be obtained, you need to get permission from the heirs of the deceased.
You can hang the picture on your wall, put it in your photo album or wallet. The photo however can not be published or posted WITHOUT PERMISSION.
8-24-2005 WEDNESDAY
8-02-2005 TUESDAY
8-01-2005 MONDAY
Shabazz was killed on August 1, 2005 by Jermaine Barrett aged 33.
Eleven bullets on Washington Avenue between Lefferts Boulevard and Lincoln Road.
Barrett emptied a .357-magnum revolver into Shabazz Muhammad.
According to the news report, "The first few shots wounded Muhammad, 27, at Washington Ave. near Lefferts Ave. As he lay wounded, Barrett allegedly pointed his gun at Lee only to discover he was out of bullets. Lee said she fought for her life after Barrett pistol whipped her."
As Shabazz Muhammad lay wounded, Barrett pulled out a 9-mm. handgun and shot Shabazz in the left eye, killing him.
Jermaine Barrett of Harlem has been charged with 2nd Degree Homicide.
This case is currently under investigation.
New York Daily News - August 1, 2005
New York Times - August 1, 2005
New York Newsday August 1, 2005
|
|